Ответы
Ответ дал:
12
Ответ:
Смотри решение на фото
Приложения:

Ответ дал:
3
Ответ:
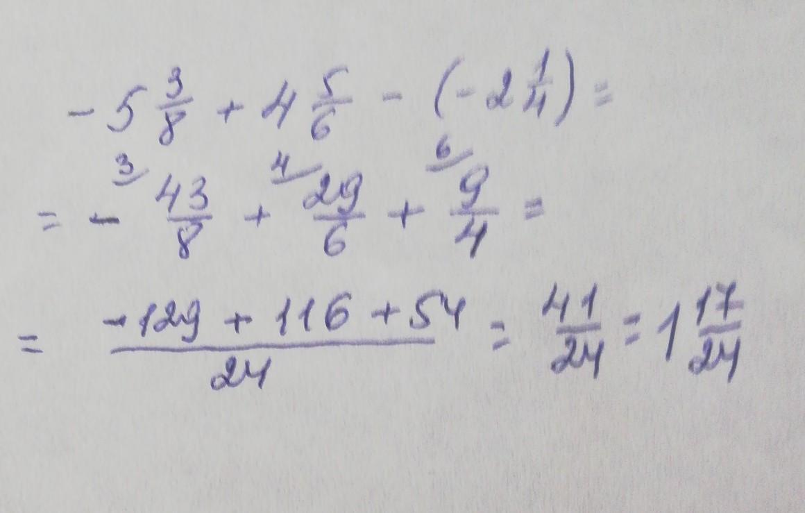
41/24
Пошаговое объяснение:
-5 3/8+4 5/6-(-2 1/4) = -43/8+29/6-(-9/4)=-43/8+29/6+9/4=41/24
Вас заинтересует
2 года назад
2 года назад
2 года назад
8 лет назад
9 лет назад