Ответы
Ответ дал:
0
Ответ: На фото: 9(2) и 10(3).
Объяснение:
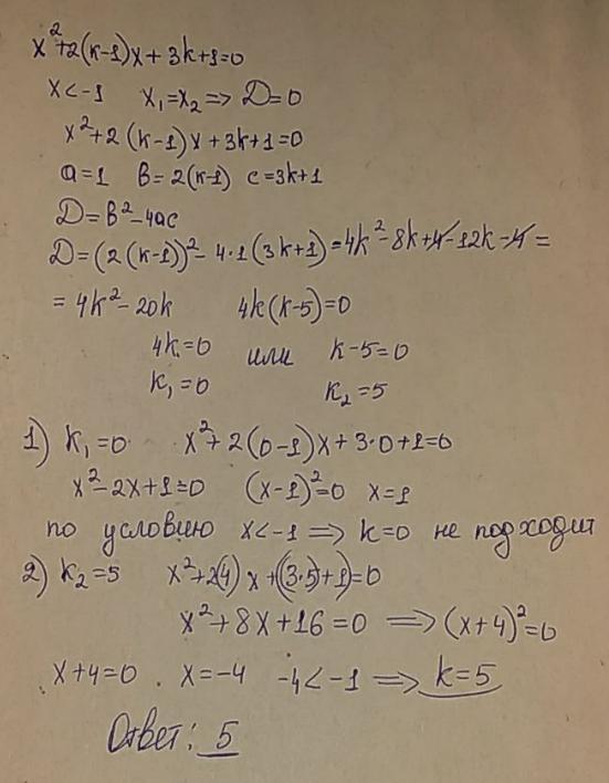
Приложения:


Вас заинтересует
2 года назад
2 года назад
8 лет назад
8 лет назад
9 лет назад
9 лет назад