• Предмет: Алгебра
  • Автор: s73424211
  • Вопрос задан 3 года назад

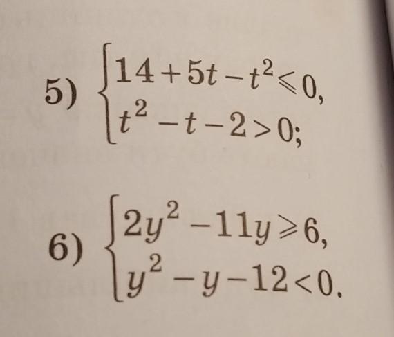
ПОМОГИТЕ С АЛГЕБРОЙ!!!
за 9 класс​

Приложения:

Ответы

Ответ дал: vadim2435
1

Ответ:

я в начале вместо t и y x написал, не обращай внимание мой косяк)

Приложения:
Вас заинтересует