РЕшить методом выделения куба (только пж подробней распишите что бы метод был понятен): 27x^3-54x^2+36x-72=0
Ответы
Ответ дал:
0
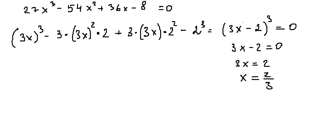
если -8, то решение в прикрепленном файле
Приложения:
Ответ дал:
0
(x-y)^3=x^3-3x^2y+3xy^2-y^3
27x^3-54x^2+36x-72=0
3^3x^3-3*(3x)^2*2+3*(3x)*(2^2)-2^3-64=0
если -8 то ч=2/3
(3x-2)^3-4^3=0
a^3-b^3=(a-b)(a^2+ab+b^2)
(3x-2-4)((3x-2)^2+4(3x-2)+4)=0
(3x-6)(9x^2+12)=0
x=2
9x^2+12 действительных корней нет
27x^3-54x^2+36x-72=0
3^3x^3-3*(3x)^2*2+3*(3x)*(2^2)-2^3-64=0
если -8 то ч=2/3
(3x-2)^3-4^3=0
a^3-b^3=(a-b)(a^2+ab+b^2)
(3x-2-4)((3x-2)^2+4(3x-2)+4)=0
(3x-6)(9x^2+12)=0
x=2
9x^2+12 действительных корней нет
Приложения:
Вас заинтересует
3 года назад
8 лет назад
8 лет назад
11 лет назад