Помогите пожалуйста готовлюсь к к.р не могу понять и решить эти 2 задания!!!!
1 задание. Обчистить. |х|- если что это модуль
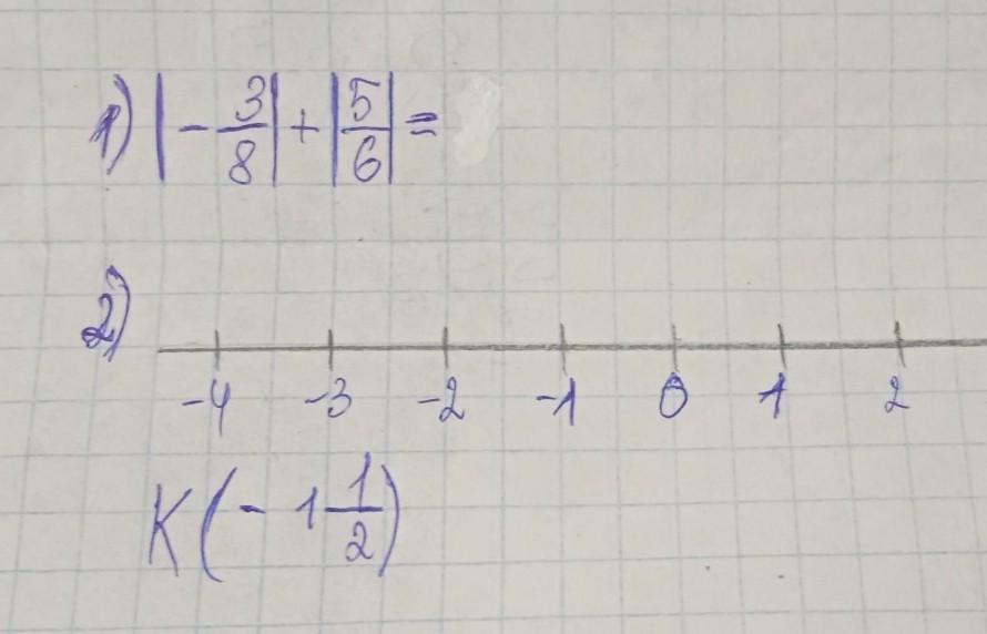
2 задание. Объясните где мне точно ставить точку на координатной прямой, вот само собественно задание:
начерти координатную прямую взяв за единичный отрезок две ячейки. Отметьте на ней точку:

Приложения:
Ответы
Ответ дал:
1
Пошаговое объяснение:
Если в модуле есть какое-то число, то оно в ответе будет всегда положительным.
|-3| = 3.
|0| = 0.
|3| = 3.
1. 3/8 + 5/6 = 9/24 + 20/24 = 29/24.
Если дробь - иррациональная, то лучше поставить предположительно. Но если будет 1/3 и 2/3, то ближе к нулю надо поставить точку 1/3, а потом точку 2/3.
2. Точка будет между -1 и -2. Т.к. расстояние 1 = 2кл, то будет между одной клеткой от -1 и одной клеткой от 0 будет точка K.
Приложения:
loladudnichenko:
спасибо большое, за первое задание я поняла а за второй ещё не доперла. просто я понимаю точку К как: 1 целая где-то между -1 и -2, а 1/2 не могу понять на что обращать внимание. Суть вопроса- что означает чисельник і знаменник, где их обозначать на координатной прямой? :(
Допустим, что у нас 1/4. 1/4 - это 1 часть от 4. Числитель - часть от знаменателя. 1/2 - Половина (0,5); 1/4 - Четверть (0,25).
вот сейчас понятно, спасибо
Ответ дал:
1
Ответ:
1. Просто оставляешь числа, без минуса и моделя и решаешь
3/8 + 5/6 = 29/24 или же 1/5/24 (смешанная дробь)
2. 1/1/2 на координатной прямой это - 1 с половиной, тоесть - 1,5
Надеюсь всё объяснил
Пошаговое объяснение:
1.
спасибо большое это ты мне очень помог!
Рад помочь)
Вас заинтересует
2 года назад
2 года назад
3 года назад
3 года назад
8 лет назад
8 лет назад
10 лет назад
10 лет назад