Ответы
Ответ дал:
0
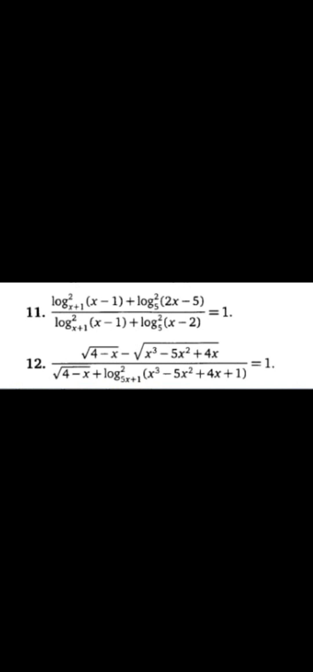
В 11 и 12 логарифм и корень служат только для одз, при решении сокращаются
Приложения:

Вас заинтересует
2 года назад
2 года назад
2 года назад
8 лет назад