• Предмет: Алгебра
  • Автор: 30608r
  • Вопрос задан 3 года назад

Задание 4. Решите уравнение:
(х + 2)^3 - 6 = 14+x^2 (х+6)​

Ответы

Ответ дал: moneyrush
0

Ответ:

х=1

Объяснение:

Первая скобка это формула: Куб суммы

раскладываешь её, и с другой стороны избавляемся от скобок умножив числа в скобке на впереди стоящий х^2.

затем сократить одинаковые числа и Х с двух сторон

остаётся 12х+8-6=14

12х+2=14

12х=12

х=1

Ответ дал: serovaksusa1
0

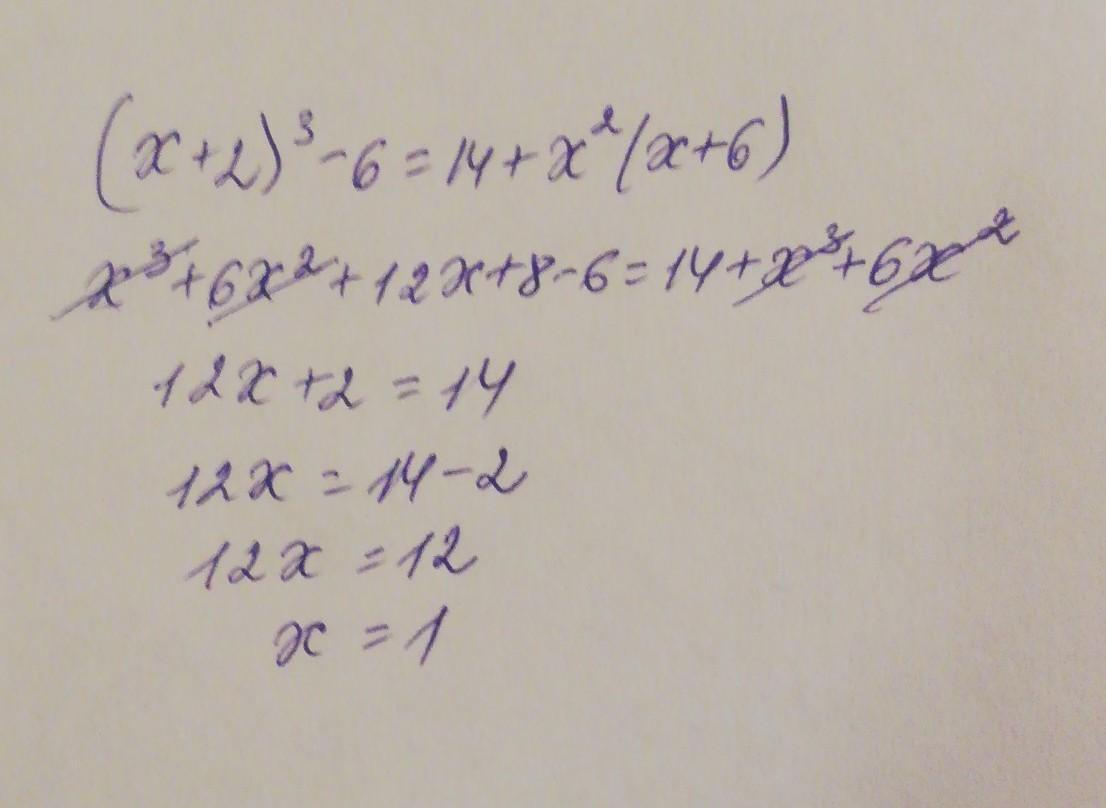
Ответ:

Смотри решение на фото

Приложения:
Вас заинтересует