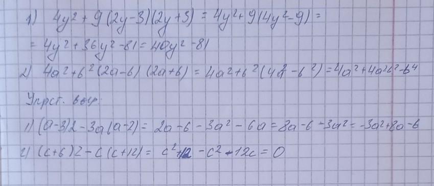
Выполните действия:
1)4у2 +9(2у-3)(2у+3)
2)4а2 +b2(2а-b)(2а+b)
Упростите выражения:
1)(а-3)2 -3а(а-2)
2)(с+6)2-с(с+12)
Ответы
Ответ дал:
2
Ответ:
Вот ответ. Удачи с уроками
Приложения:

Nirakiramira:
спасибо большое
Вас заинтересует
2 года назад
2 года назад
2 года назад
8 лет назад