• Предмет: Алгебра
  • Автор: 3ll050
  • Вопрос задан 3 года назад

Решите задачу:
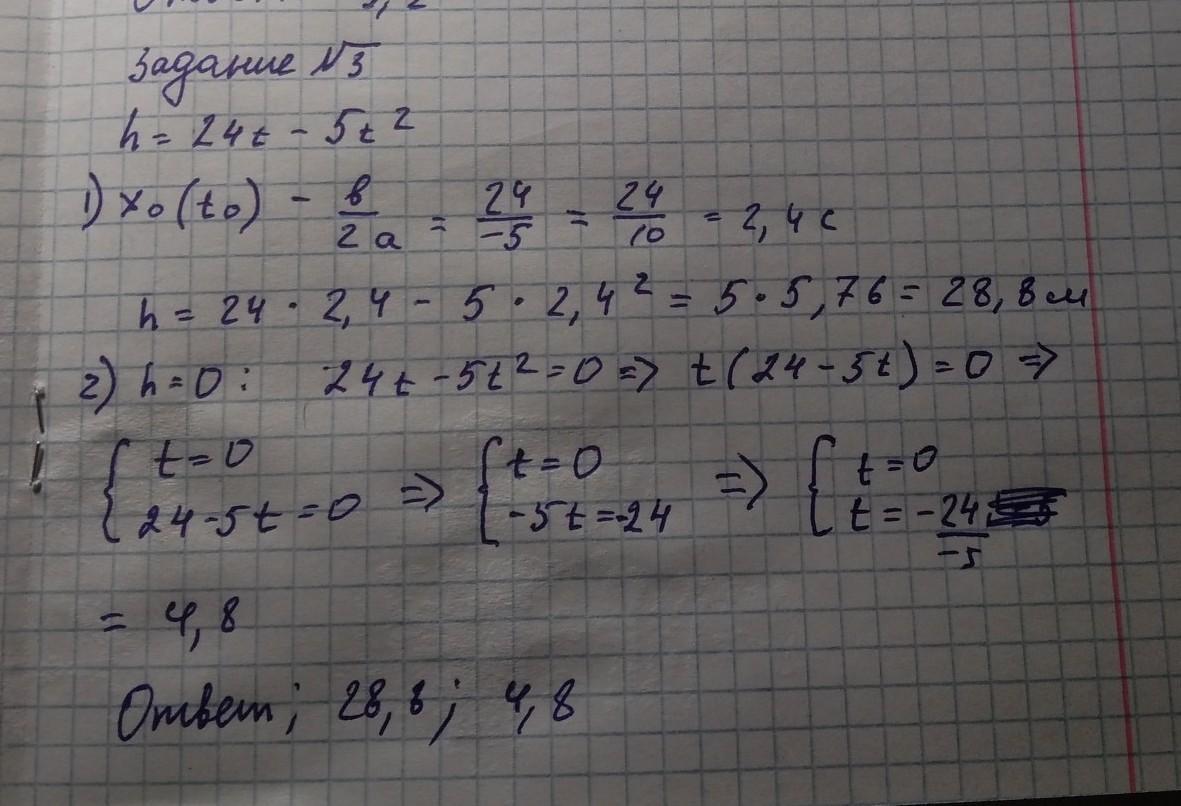
Мяч брошен вертикально вверх с начальной скоростью 24 м/с. Зависимость расстояния h (в метрах) от мяча до земли от времени полета выражается формулой.h= 20t-4t2 
1) Какой наибольшей высоты достигнет мяч?
2) Через сколько секунд после броска мяч упадет на землю?
помогите пожалуйста. это сор. ​

Ответы

Ответ дал: fadinaamirova14
9

на картинка

Объяснение:

.,,очщвовьужыщы

Приложения:

Аноним: Можешь дать 2 задание
Аноним: Прошу
Аноним: Срочно надо
Вас заинтересует