• Предмет: Геометрия
  • Автор: zorasnizana4
  • Вопрос задан 3 года назад

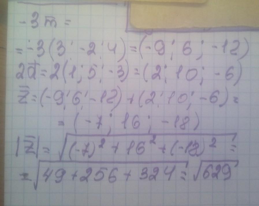
Обчислити довжину вектора Z=-3m+2d,Якщо m(3,-2,4) і d(1,5,-3)​

Ответы

Ответ дал: manyny06
0

Ответ:

решение смотри на фотографии

Приложения:

Аноним: https://znanija.com/task/43168818 помогите пожалуйста очень нужно
Вас заинтересует