Большой конец шлагбаума равен 6 м,а маленький 0,9 метров. на сколько опустится короткий конец шлагбаума , если большой поднимается на 2 метра? и почему?
Ответы
Ответ дал:
0
Составить отношение.
0.9/6=x/2.
x=0.03
0.9/6=x/2.
x=0.03
Ответ дал:
0
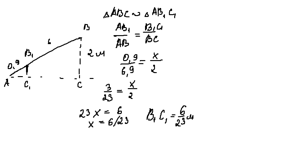
Решение на приложенной картинке.
Приложения:
Вас заинтересует
3 года назад
3 года назад
8 лет назад
8 лет назад
11 лет назад
11 лет назад
11 лет назад