Ответы
Ответ дал:
1
Ответ:
вот так кажется.......
Приложения:

Ответ дал:
1
Пошаговое объяснение:
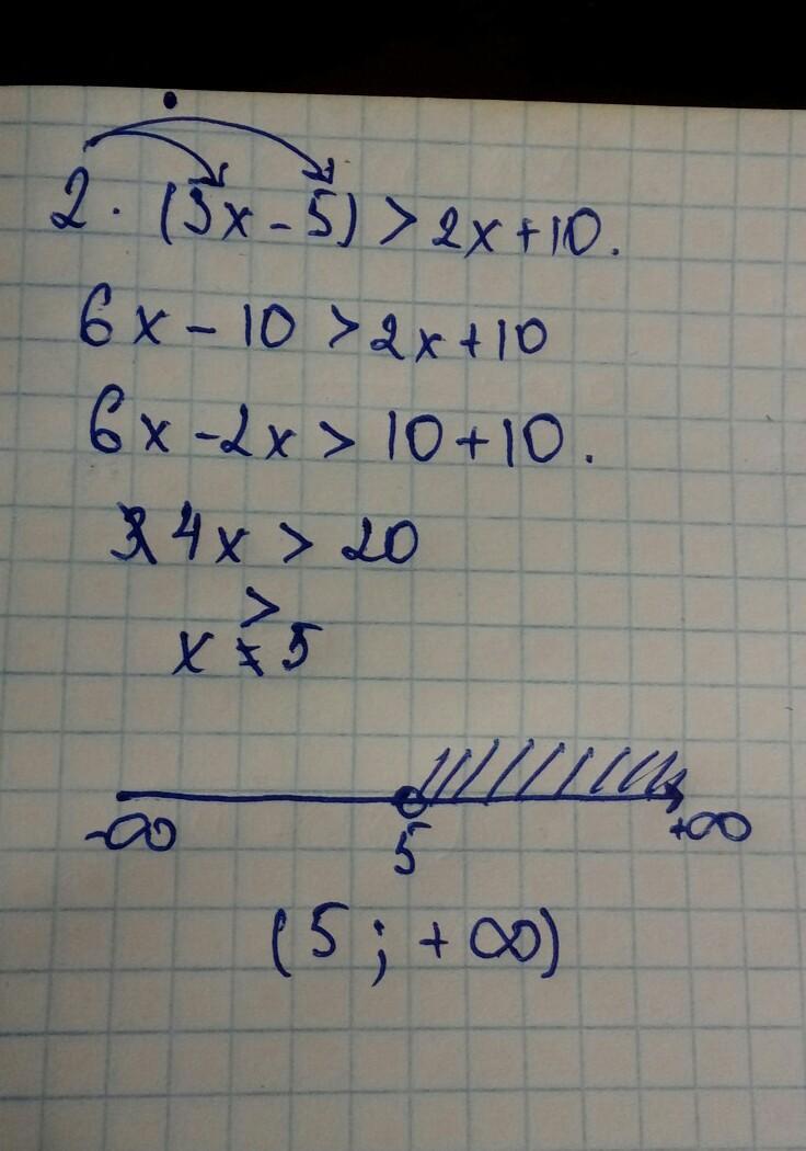
2(3х-5)>2х+10
6х-10>2х+10
6х-2х>10+10
4х>20
Х>5
ОТВЕТ : х€(5;+бесконечности)
Вас заинтересует
2 года назад
2 года назад
2 года назад
8 лет назад
8 лет назад