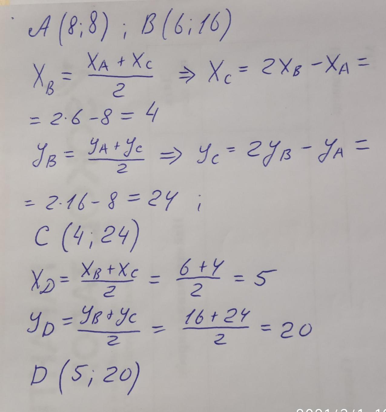
Даны точки A(8;8) и B(6;16).
Найди координаты точек C и D, если известно, что точка B — середина отрезка AC, а точка D — середина отрезка BC.
C(_;_);
D(_;_).
Ответы
Ответ дал:
17
Ответ:
C(4;24)
D(5;20)
Объяснение:
Приложения:

Вас заинтересует
2 года назад
2 года назад
2 года назад
2 года назад
9 лет назад