• Предмет: Алгебра
  • Автор: alinaionova007
  • Вопрос задан 3 года назад

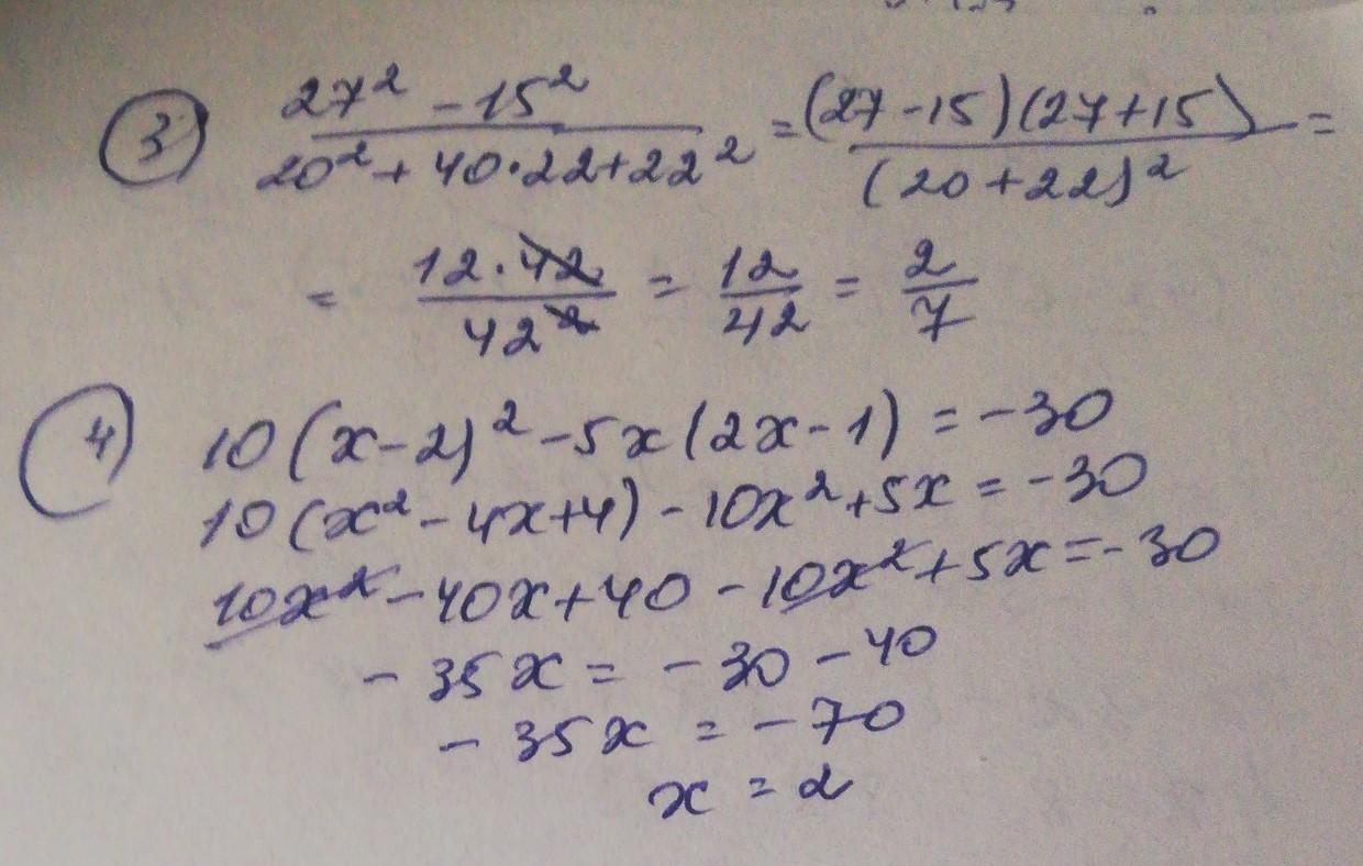
Помогите пожалуйста ❤️❤️❤️

Приложения:

Ответы

Ответ дал: serovaksusa1
1

Ответ:

Смотри решение на фото

Приложения:
Вас заинтересует