Привет всем.Ребята помогите пожалуйста с сором надо полное решение если что я вам помогу.
Приложения:

Ответы
Ответ дал:
1
Ответ:
Пошаговое объяснение:
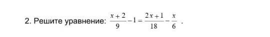
(x+2)/9 - 1 = (2x+1)/18 -x/6
каждый член уравнения умножаем на 18, тогда
к первому дополнительный множитель 2
ко второму 18
к третьему 1
к четвертому 3
2(х+2) - 18 = (2х+1) - 3х
2х +4 -18 = 2х + 1 -3х
3х = 1 +18 -4 = 15
х = 5
emirkholkin37:
спасибо
Вас заинтересует
2 года назад
2 года назад
2 года назад
8 лет назад
8 лет назад
9 лет назад