Помогите пж с математикой прям сейчас номер 3 дам 10 баллов
Приложения:

skyBUTTERFLY:
Номер 3 уравнение? Или всё-таки задача?
Ответы
Ответ дал:
1
Ответ:
Пошаговое объяснение:
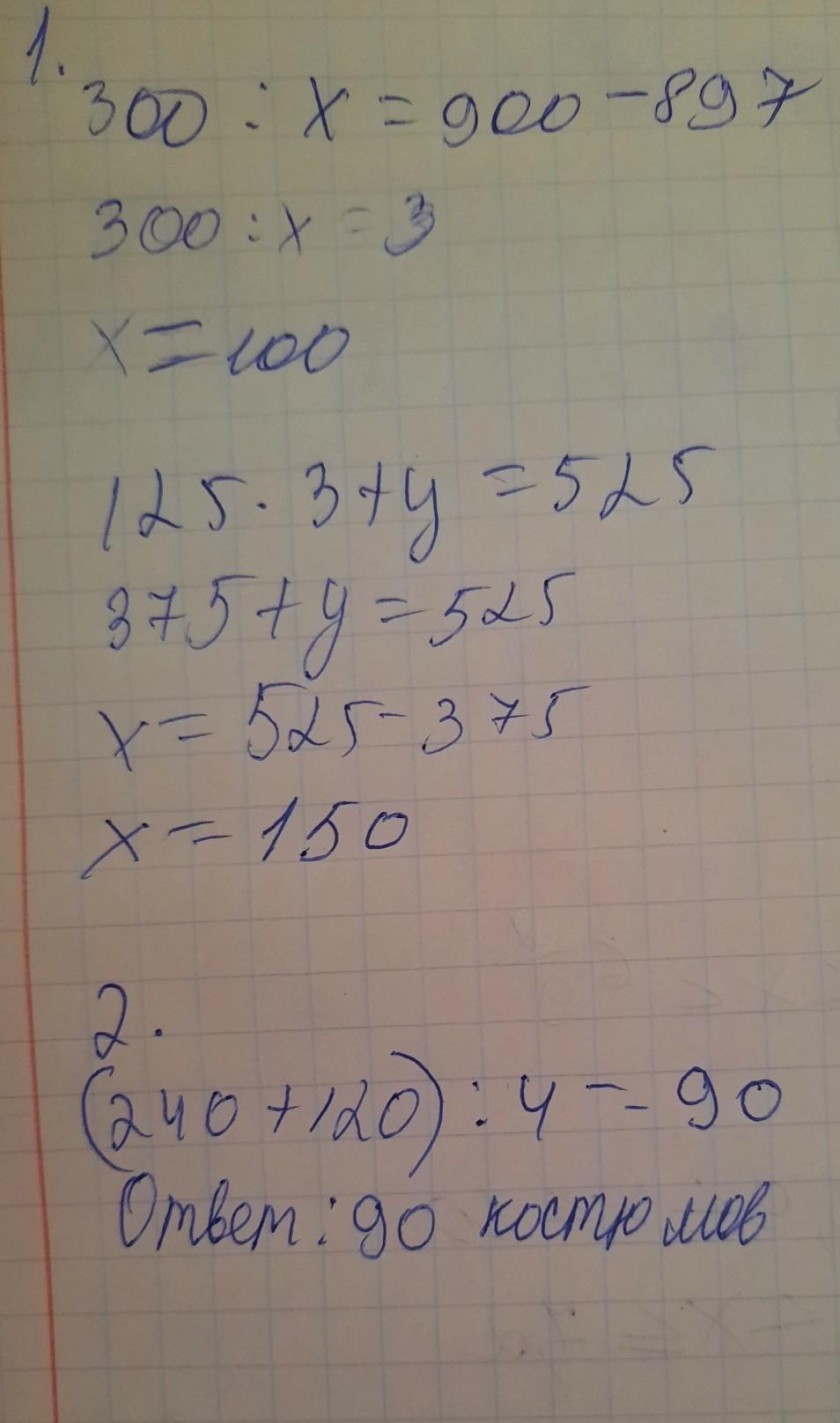
300 : х = 900 - 897
300 : х = 3
х = 300 : 3
х = 100
125 • 3 + у = 525
375 + у = 525
у = 525 - 375
у = 150
Задача.
Способ 1.
1) 240 : 4 = 60 (к) - сошьют из первого рулона ткани
2) 120 : 4 = 30 (к) - сошьют из второго рулона ткани
3) 60 + 30 = 90 (к) - всего костюмов сошьют с двух рулонов ткани
Ответ: 90 костюмов
Способ 2.
1) 240 + 120 = 360 (м) - ткани в обоих рулонах
2) 360 : 4 = 90 (к) - сошьют из обоих рулонов ткани
Ответ: 90 костюмов
Ответ дал:
1
я сделала 2 задания потому что я не поняла какое именно надо
Приложения:

Вас заинтересует
2 года назад
2 года назад
2 года назад
8 лет назад
8 лет назад
9 лет назад
9 лет назад