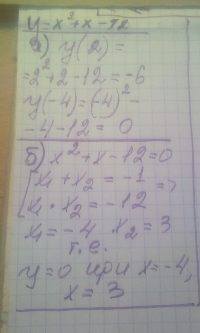
2. Функция задана формулой
y=x²+x-12
а) Найдите
y(2); у(-4)
б) При каком значении аргумента значение функции равно нулю?
Ответы
Ответ дал:
1
Ответ:
решение смотри на фотографии
Приложения:

Аноним:
спасибо
Вас заинтересует
2 года назад
2 года назад
2 года назад
8 лет назад
8 лет назад
9 лет назад