Ответы
Ответ дал:
67
Ответ:
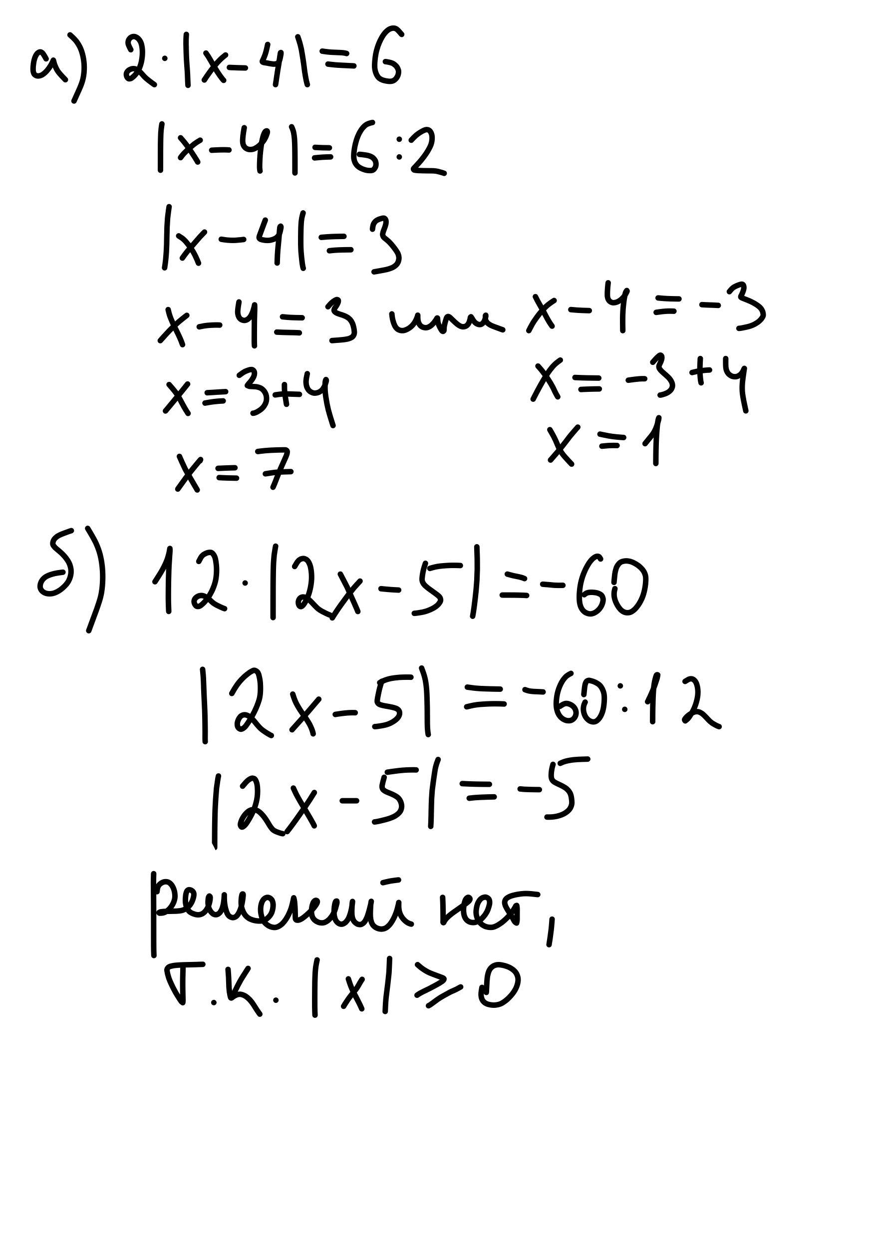
Пошаговое объяснение: во вложении.
Приложения:

Аноним:
это правилно
Вас заинтересует
2 года назад
2 года назад
2 года назад
2 года назад
8 лет назад
8 лет назад
9 лет назад