• Предмет: Алгебра
  • Автор: Аноним
  • Вопрос задан 3 года назад

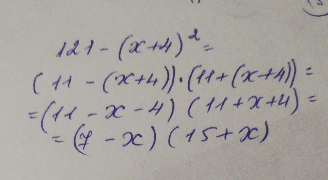
Расположите на множители выражение 121-(x+4)'2 help pliz !! дам 48 балов!​

Ответы

Ответ дал: serovaksusa1
0

Ответ:

Смотри решение на фото

Приложения:
Вас заинтересует