• Предмет: Алгебра
  • Автор: maras499
  • Вопрос задан 3 года назад

Пожалуйста помогите срочно надо ​

Приложения:

Ответы

Ответ дал: serovaksusa1
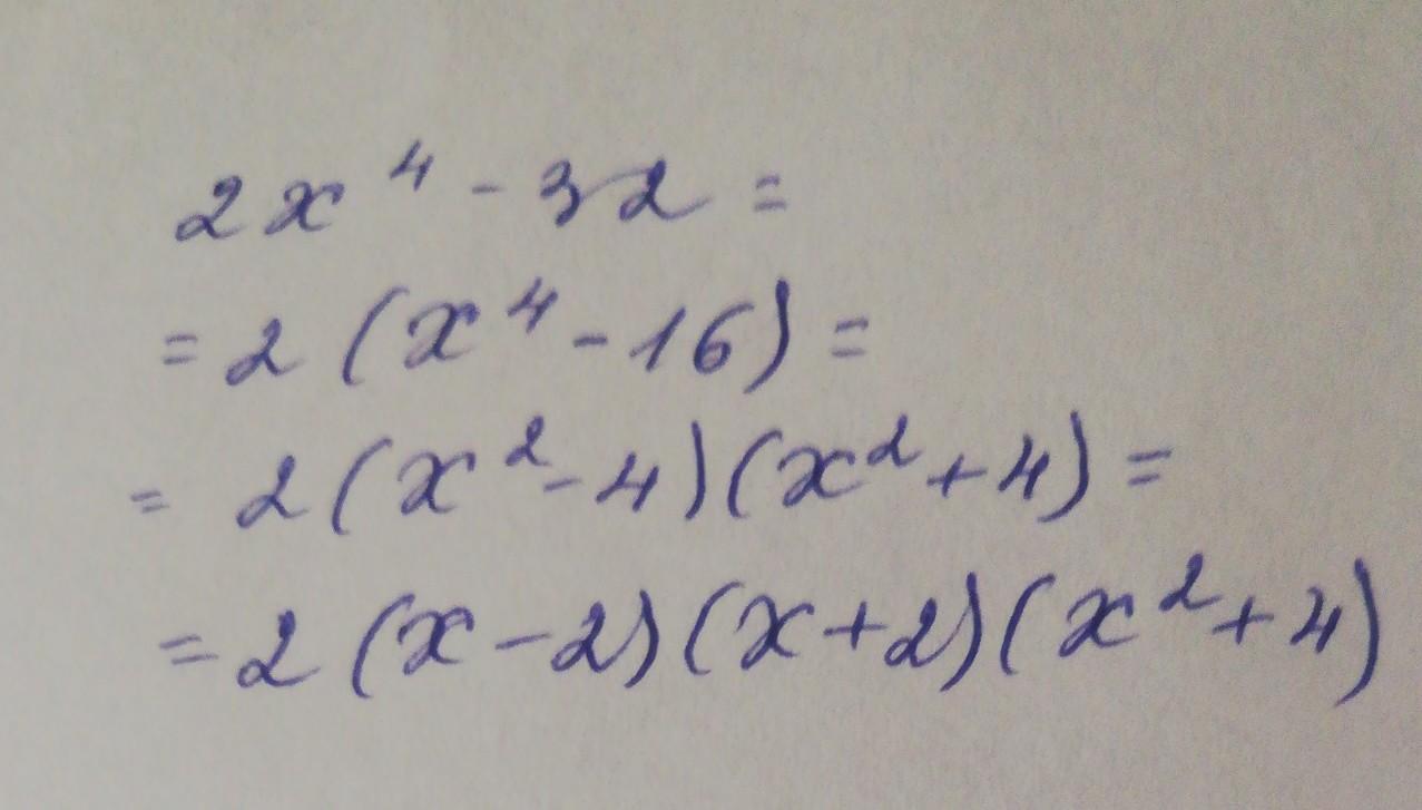
1

Ответ:

Смотри решение на фото

Приложения:

maras499: это какое?
serovaksusa1: под буквой Е
maras499: можно остальное?
serovaksusa1: а что остальное, там под буквами даны варианты ответов,
maras499: а, ладно
serovaksusa1: я и решила вам, ответ под буквой Е
maras499: Спасибо
Вас заинтересует