• Предмет: Математика
  • Автор: bravovasyl
  • Вопрос задан 3 года назад

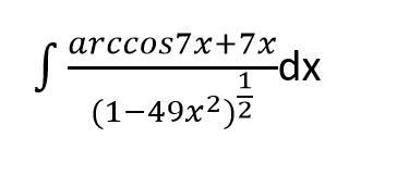
знайти інтеграл /////////////////////////////////////////////////////////// /

Приложения:

Ответы

Ответ дал: olgaua64
1

Відповідь:

Покрокове пояснення:

Необходимо разбить на 2 интеграла

arccos7x/√(1-49x^2)

7x/√(1-49x^2)

t=arccos7x → dt= -7/√(1-49x^2) dx

∫arccos7x/√(1-49x^2) dx= -1/7∫t dt= -1/14 t^2 = -(arccos7x)^2/14

t=1-49x^2. → dt= -98x dx

∫7x/√(1-49x^2) dx = -1/14∫dt/√t = -1/14 × 2t^(1/2)= -2/14 √(1-49x^2)

∫(arccos7x+7x)/√(1-49x^2)dx= -(arccos7x)^2/14-2/14 √(1-49x^2)

Вас заинтересует