• Предмет: Математика
  • Автор: Аноним
  • Вопрос задан 3 года назад

Реши уравнение
73+(50/Х+2)=100


theymohety: "/" это у тебя дробь или деление?
Аноним: Деление

Ответы

Ответ дал: ArtemkaWolf29
2

73+(50/Х+2)=100

73+(50:Х+2)=100 (для удобства представим в виде деления)

50:Х+2=100-73

50:Х+2=27

50:Х=27-2

50:Х=25

Х=50:2

Х=25

Ответ:25


Аноним: Спс
Ответ дал: theymohety
2
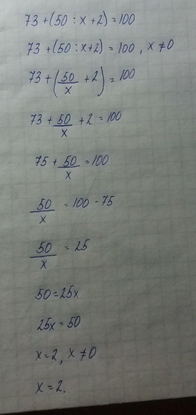
  • ответ на фото
  • °^°^°^°^°^°
Приложения:
Вас заинтересует