• Предмет: Математика
  • Автор: Аноним
  • Вопрос задан 3 года назад

Как решить уравнение срочно даю 40 баллов!!!!!!!!!!

Приложения:

Ответы

Ответ дал: theymohety
3

ответ на фото

∆∆∆∆∆∆∆∆∆∆

Приложения:
Ответ дал: agapo71
1

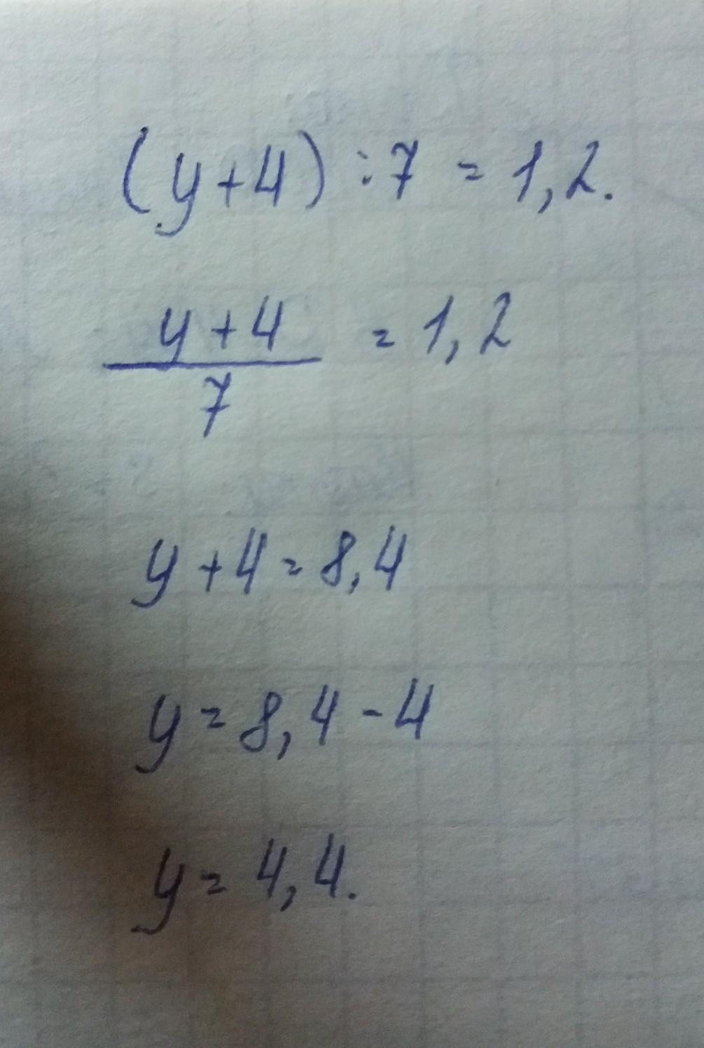
Ответ:

Пошаговое объяснение:

( у+4) :7=1,2

У+4=1,2×7

У+4=8,4

У=8,4 -4

У= 4, 4

Вас заинтересует