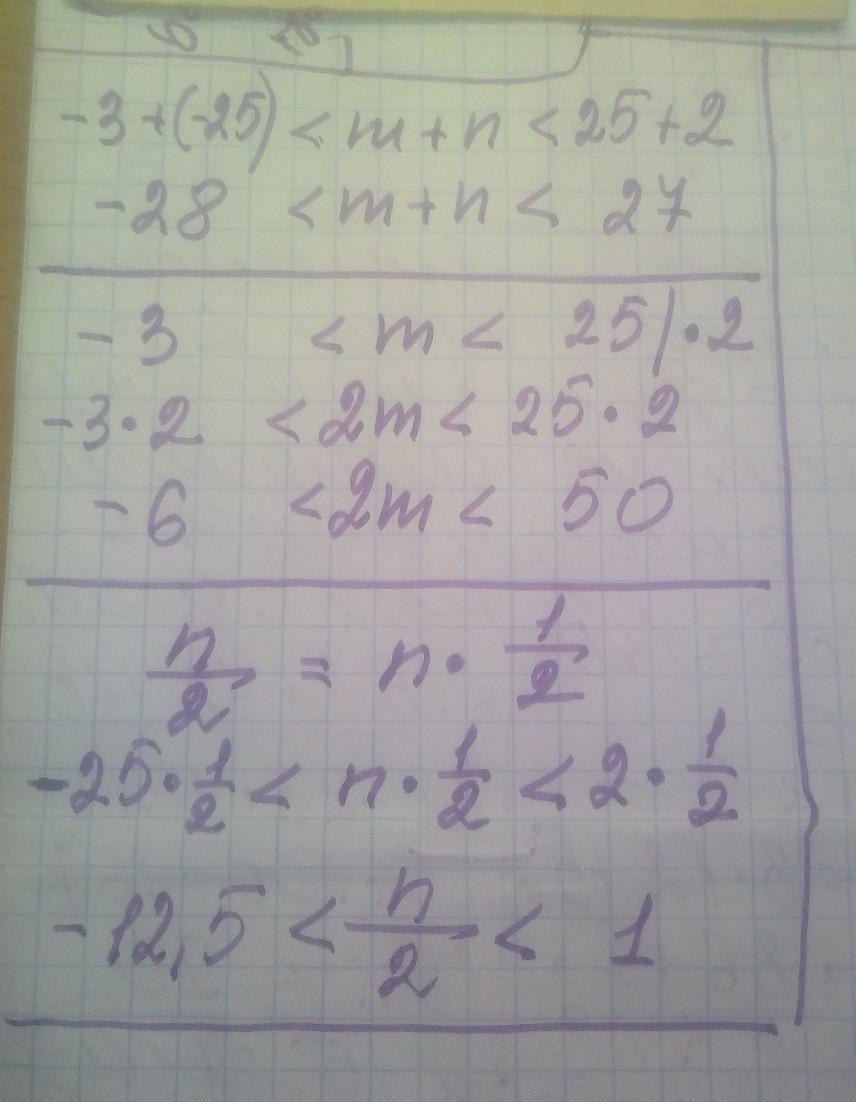
Известно что - 3<m<25 и - 25<n <2.
Оцените :
А) m+n; B) 2m; C) n/2.
Даю 50 балоовв!!
diorgoxi:
4,34
Ответы
Ответ дал:
7
Ответ:
решение смотри на фотографии
Приложения:

Ответ дал:
6
Ответ:
Пошаговое объяснение:
Решение дано на фото.
Приложения:

Вас заинтересует
2 года назад
2 года назад
2 года назад
2 года назад
8 лет назад
8 лет назад
9 лет назад