• Предмет: Алгебра
  • Автор: Аноним
  • Вопрос задан 3 года назад

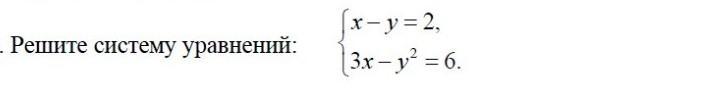
алгебра ! подробно !​

Приложения:

Ответы

Ответ дал: samcung00
0

Ответ:

Все на фото увидишь

Объяснение:

Приложения:
Вас заинтересует