• Предмет: Математика
  • Автор: tarasiuk0404
  • Вопрос задан 3 года назад

6. Знайди значення виразу. Обчислення запиши окремими
діями.
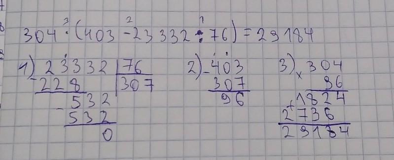
304 (403 - 23 332 : 76) =​

Ответы

Ответ дал: younglady219
1

Ответ:

вот

.........

.........

.........

.........

Приложения:

tarasiuk0404: Дякую )
Вас заинтересует