Cамостоятелтная работа вариант 2 в 1 надо пропуски заполнить подробно все задания прошу какие можете ну лучше конечно все в 1 можете написать числа которые надо и в 3 тоже ну короче решите пжжж даю 30 баллоа
Приложения:

Ответы
Ответ дал:
1
Ответ:
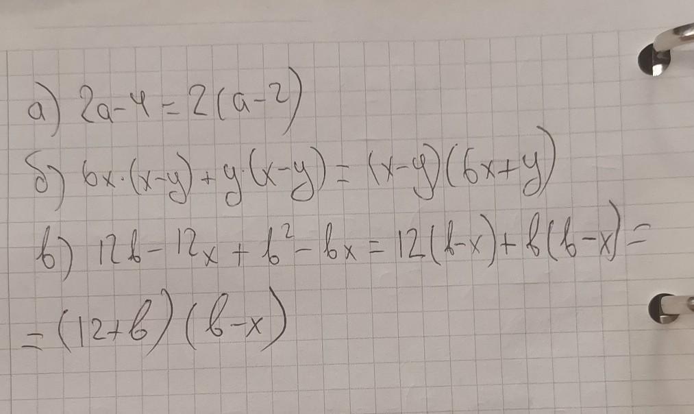
на скрине подписала над знаками ошибки и квадрат на а. В третьем ошибку не нашла
Приложения:



book200728:
грспади ты бог спасибо тебе огромное ❤️❤️❤️и ещё скажи сколько тебе лет и можно с тобой дружить? буду у тебя помощь спрашивать если позвольшь вот мой номер напиши свой пжжж 79631110228
Вас заинтересует
2 года назад
2 года назад
2 года назад
8 лет назад
8 лет назад
9 лет назад