Ответы
Ответ дал:
0
файл
========================
Приложения:

Ответ дал:
0
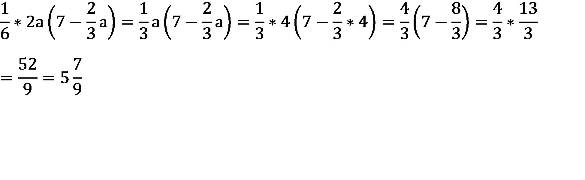
если a=4, то
Приложения:

Вас заинтересует
2 года назад
2 года назад
8 лет назад
8 лет назад
10 лет назад
10 лет назад