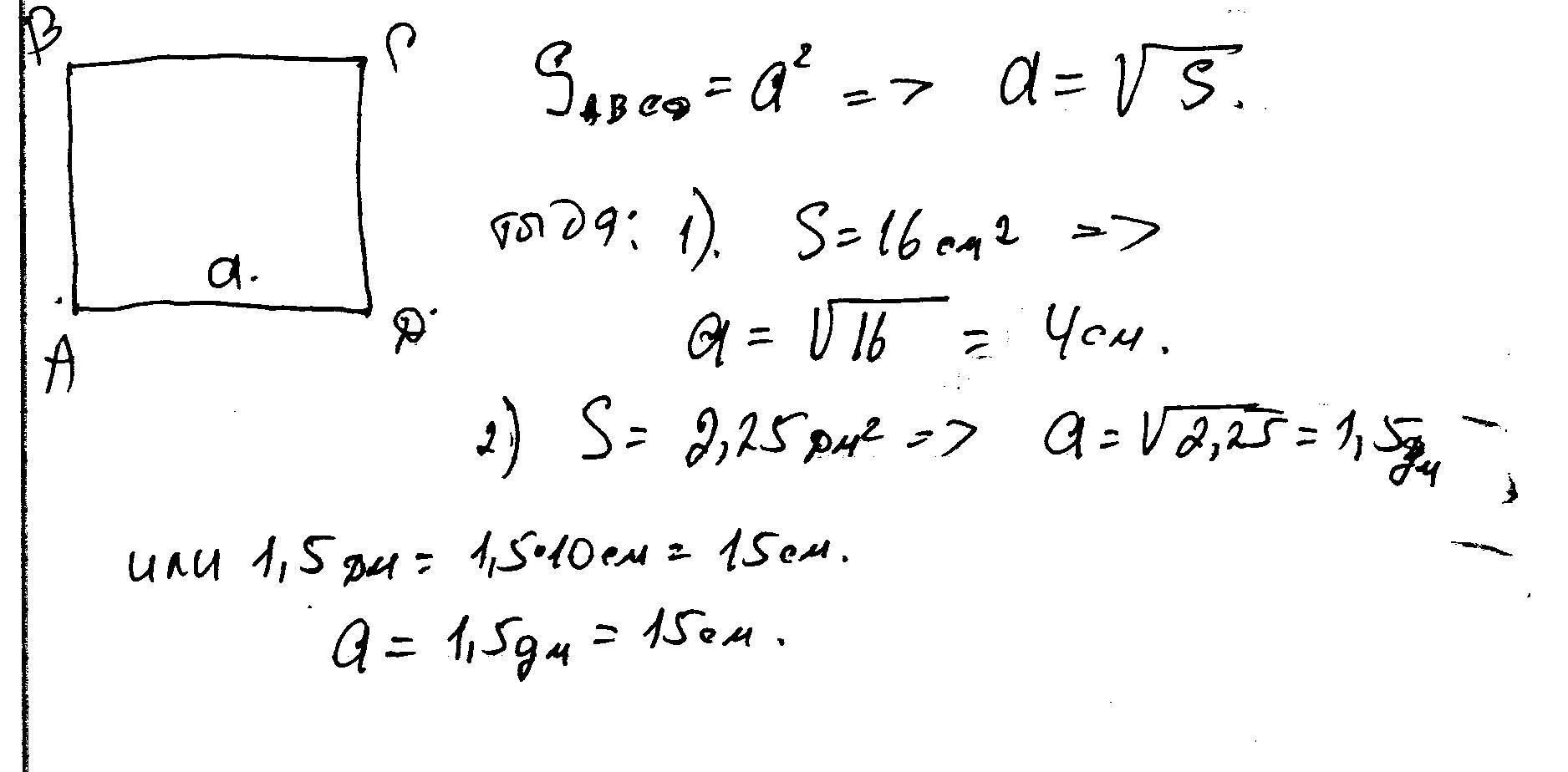
Помогите пожалуйста решить. Заранее спасибо. 1)Найдите сторону квадрата, если его площадь равна 16 см в квадрате. 2)найдите площадь квадрата, если его площадь равна 2,25 дм в квадрате
Ответы
Ответ дал:
0
решение в скане..............
Приложения:

Вас заинтересует
2 года назад
8 лет назад
8 лет назад
10 лет назад
10 лет назад
10 лет назад