• Предмет: Математика
  • Автор: darka8248
  • Вопрос задан 3 года назад

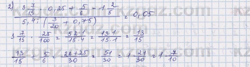
срочно 5 класс помогите!!!!!!!​

Приложения:

Ответы

Ответ дал: yakubovamadina2007
1

Ответ:

Надеюсь помогла :)

Приложения:
Вас заинтересует