• Предмет: Алгебра
  • Автор: girlinred93
  • Вопрос задан 3 года назад

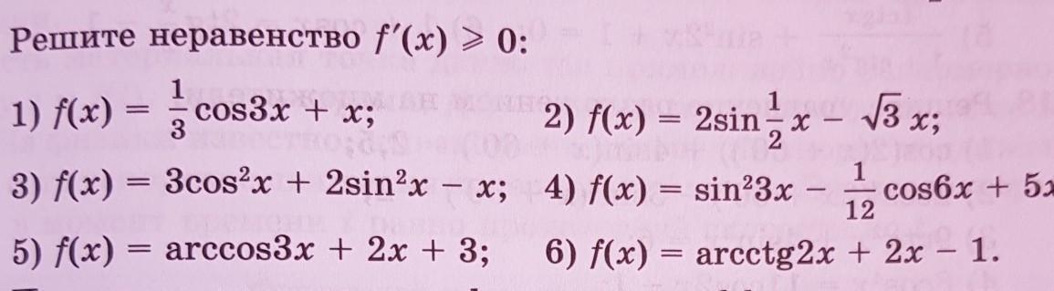
решите неравенство только 1,2,3 п​

Приложения:

Ответы

Ответ дал: kristtaforr
0

Ответ:

1- f(0)= 1/3

2- f(0)=0

3- f(0)=27

Объяснение:

Вас заинтересует