• Предмет: Алгебра
  • Автор: cumm
  • Вопрос задан 3 года назад

ПРОШУ ПОМОГИТЕ!ПРОШУ УМОЛЯЮ ПЖЖЖЖЖЖЖ

Приложения:

Ответы

Ответ дал: myhaarai123321
0

Ответ:

Вот это правильный ответ

Приложения:

cumm: храни тебя господь, можешь помочь мне с еще одним заданием..оно в профиле уже..на него никто не отвечал
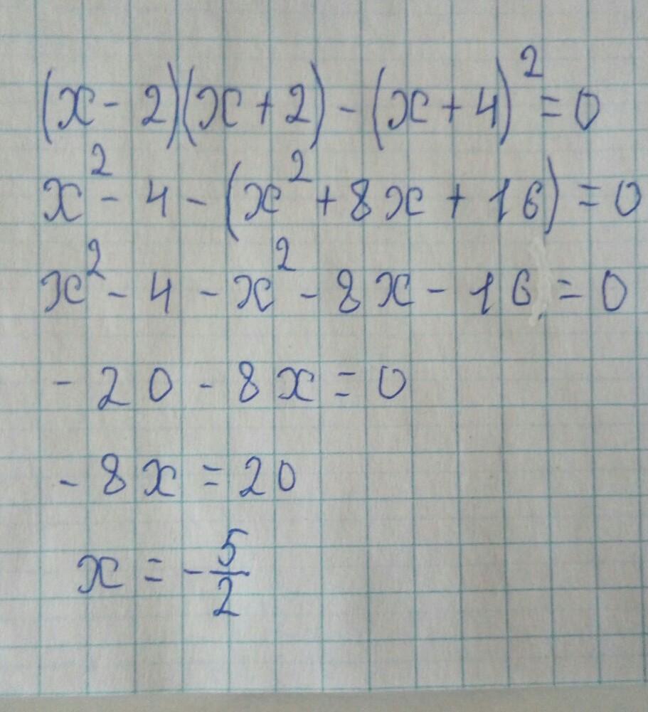
Ответ дал: DimaPuchkov
0

(x-2)\cdot(x+2)-(x+4)^2=0; \\ \\ x^2 +2x-2x-2\cdot 2-(x^2 +2\cdot 4\cdot x +4^2)=0; \\ \\ x^2-4-(x^2+8x+16)=0\\ \\ x^2-4 - x^2-8x-16=0 \\ \\ -8x-20=0; \\ \\ 8x=-20; \\ \\ x=-\frac{20}{8}=-\frac{10}{4}=-\frac{5}{2}


cumm: спасибо больше
Вас заинтересует