СРОЧНО!ДАЮ 10 БАЛЛОВ!
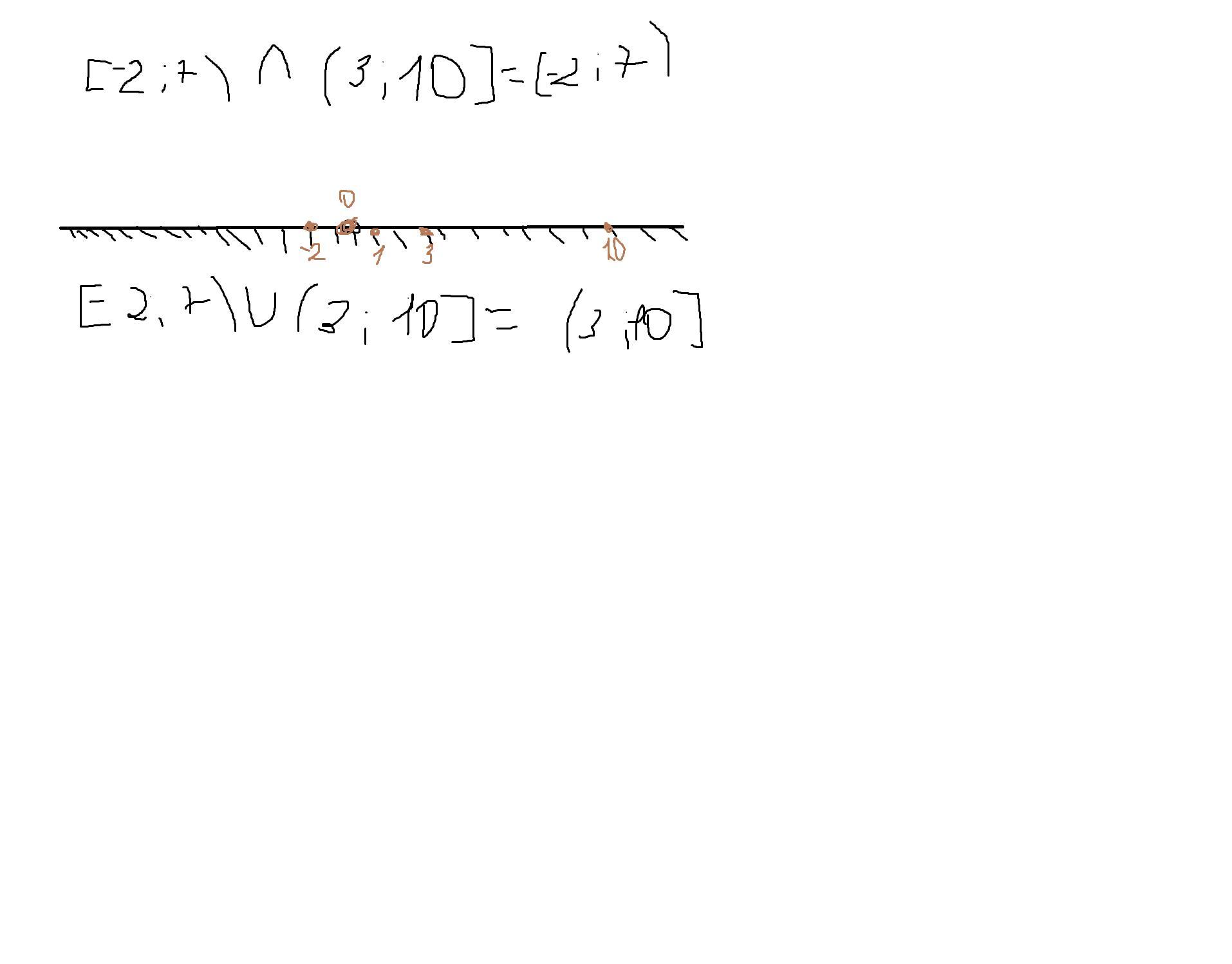
Изобразите на координатной прямой и запишите пересечение и объединение числовых промежутков: [ –2; 7) и (3; 10].
Ответы
Ответ дал:
0
Ответ:
ОтВЕТ СМОТРИ на фото
Пошаговое объяснение:
Приложения:

Вас заинтересует
2 года назад
2 года назад
2 года назад
8 лет назад
9 лет назад
9 лет назад