• Предмет: Алгебра
  • Автор: yrasshka
  • Вопрос задан 3 года назад

Решите уравнение: (x–2)(x+2)–(x+4)² =0

Ответы

Ответ дал: Аноним
14

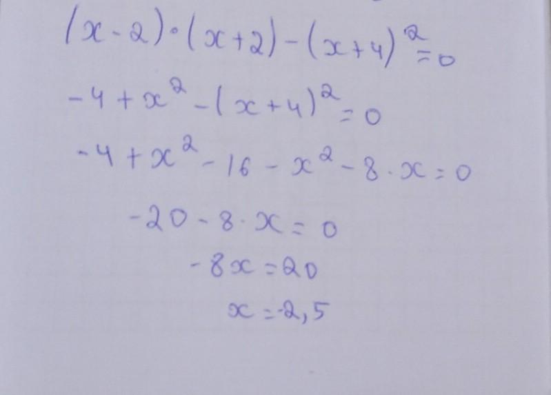
Ответ:

 x_{1} =  - 2.5

Приложения:
Ответ дал: nieboesi
18

(x – 2)(x + 2) – (x + 4)² = 0

x² – 4 – (x² + 8x + 16) = 0

x² – 4 – x² – 8x – 16 = 0

– 8x – 20 = 0

8х + 20 = 0

8х = –20

х = –(20/8) = –2,5

Ответ: –2,5

Вас заинтересует