Срочно нужна помощь!!! дам 70 баллов
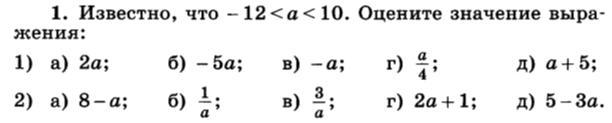
Известно, что -12<а<10:Оцените значения выражения:Все на фото
СРОЧНО ПОЖАЛУЙСТА!!!!
Приложения:

Ответы
Ответ дал:
1
1) a)
б)
в)
г)
д)
2) а)
б)
в)
г)
д)
Marcon1215:
Спасибо
Вас заинтересует
2 года назад
2 года назад
8 лет назад
8 лет назад
9 лет назад
9 лет назад