• Предмет: Математика
  • Автор: rifididdi97
  • Вопрос задан 3 года назад

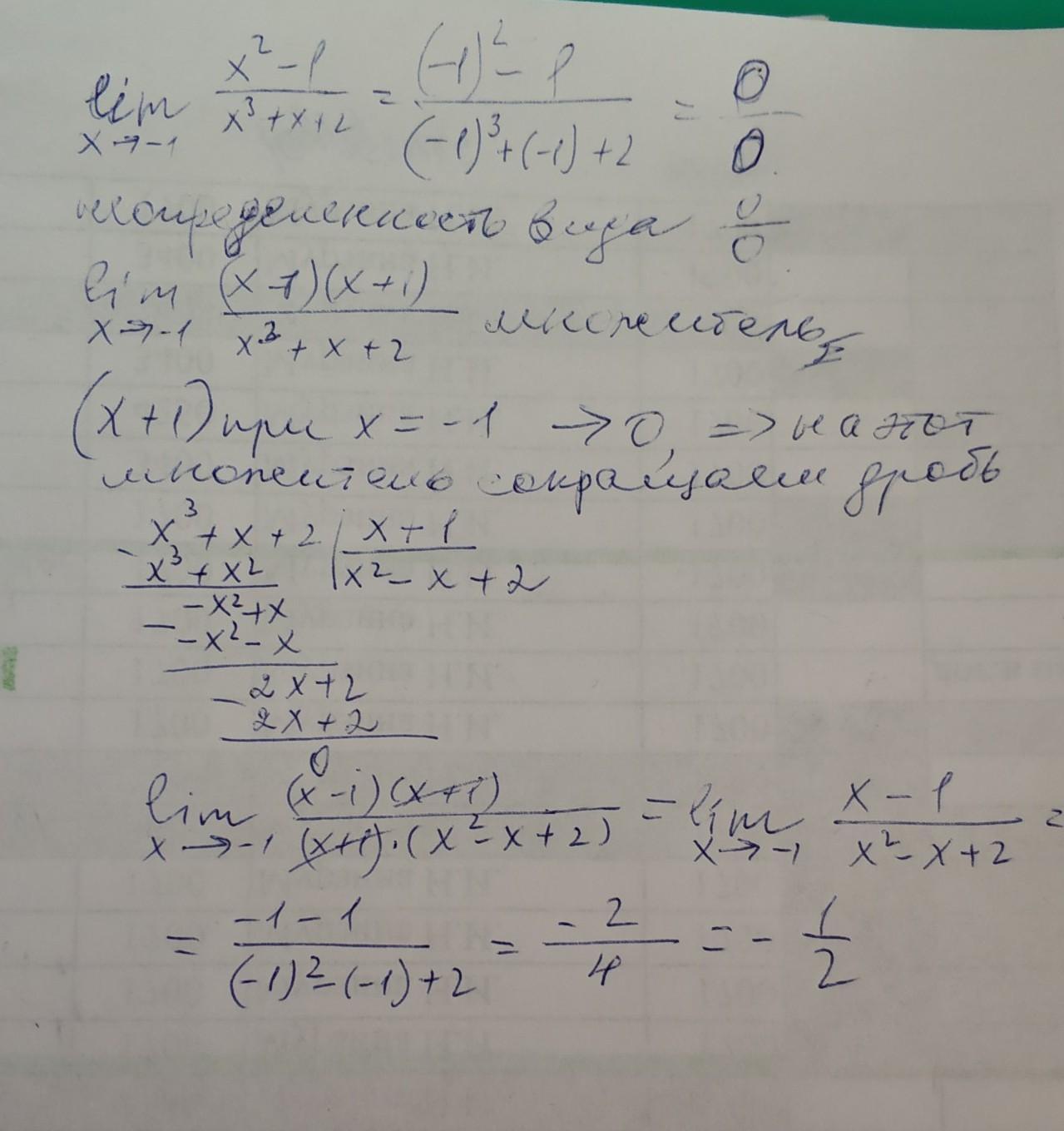
вычислить предел: lim x→-1 (x²-1/x³+x+2)​

Ответы

Ответ дал: kirichekov
2

Ответ:

= - 1/2

Пошаговое объяснение:

решение во вложении...

Приложения:
Вас заинтересует