• Предмет: Математика
  • Автор: koreuchukstas
  • Вопрос задан 3 года назад

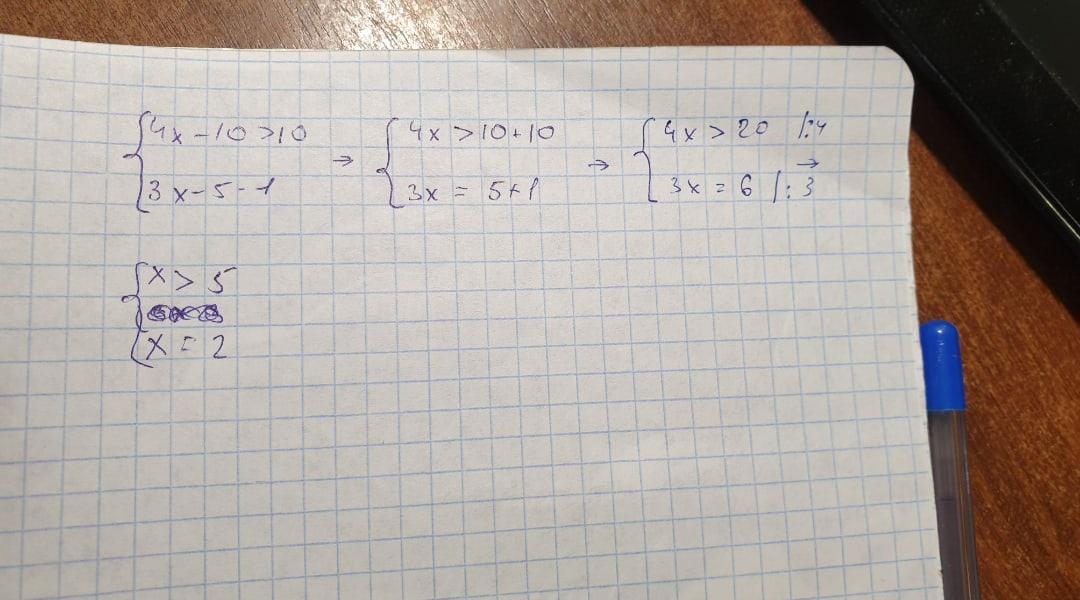
4. Решите систему неравенств.
{4x -10 > 10
{3х - 5 - 1​


SuperStas0: Я понял
koreuchukstas: 3x-5>1
SuperStas0: Так что за 2 неравентство?
koreuchukstas: 4x-10>10. а второе 3х-5>1
SuperStas0: x>5
SuperStas0: { x>5
{ x>2
Ответ: x>5
koreuchukstas: 4x-
koreuchukstas: не не то изаини
koreuchukstas: да
koreuchukstas: ответ это

Ответы

Ответ дал: inju2009
1

Ответ:

вроде бы так, но у тебя ошибка... 3х-5-1 , так не получится

Приложения:
Ответ дал: Juliyabelyakova
1

Ответ:

Пошаговое объяснение:

Приложения:

koreuchukstas: а что это за линии прямые после 20 и 6
Juliyabelyakova: деление
Вас заинтересует