ПОМОГИТЕ ДАЮ МНОГО БАЛЛОВ
задачи:
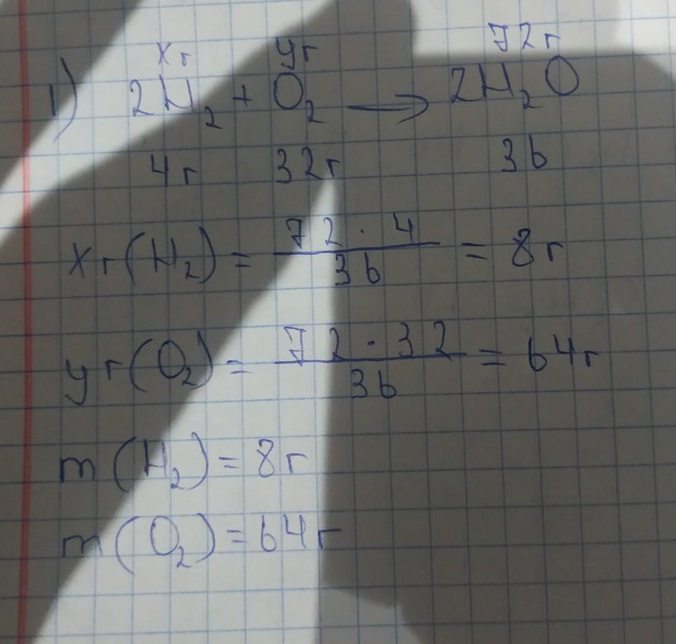
1) при взаимодействии водорода с кислородом образовалось 72г воды, вычислите массы веществ вступивших в рекцию .
2H2+O2->2H2O
2) В реакцию с водой вступило 19,5г кальция, определите массу водорода и воды.
2H2O+2K->2KOH+H2
Ответы
Ответ дал:
2
Ответ:
1)Дано
m(H2O) - 72 г
m(H2) - ?г
m(O2) - ?г
Решение( на фото)
Ответ: m(H2) - 8г
m(O2) - 64г
2)Дано
m(Ca) - 19,5г
m(H2) - ?г
m(H2O) - ?г
Решение( на фото)
Ответ : m(H2) - 0,975г
m(H2O) - 17,55г
Объяснение:
Если там Калии вместо кальция, то и это решение на фото. Просто разберёшься. В условии сам написал кальции, а в реакции Калии.
Приложения:


Вас заинтересует
2 года назад
2 года назад
8 лет назад
8 лет назад
9 лет назад