• Предмет: Алгебра
  • Автор: sofiaugova82
  • Вопрос задан 3 года назад

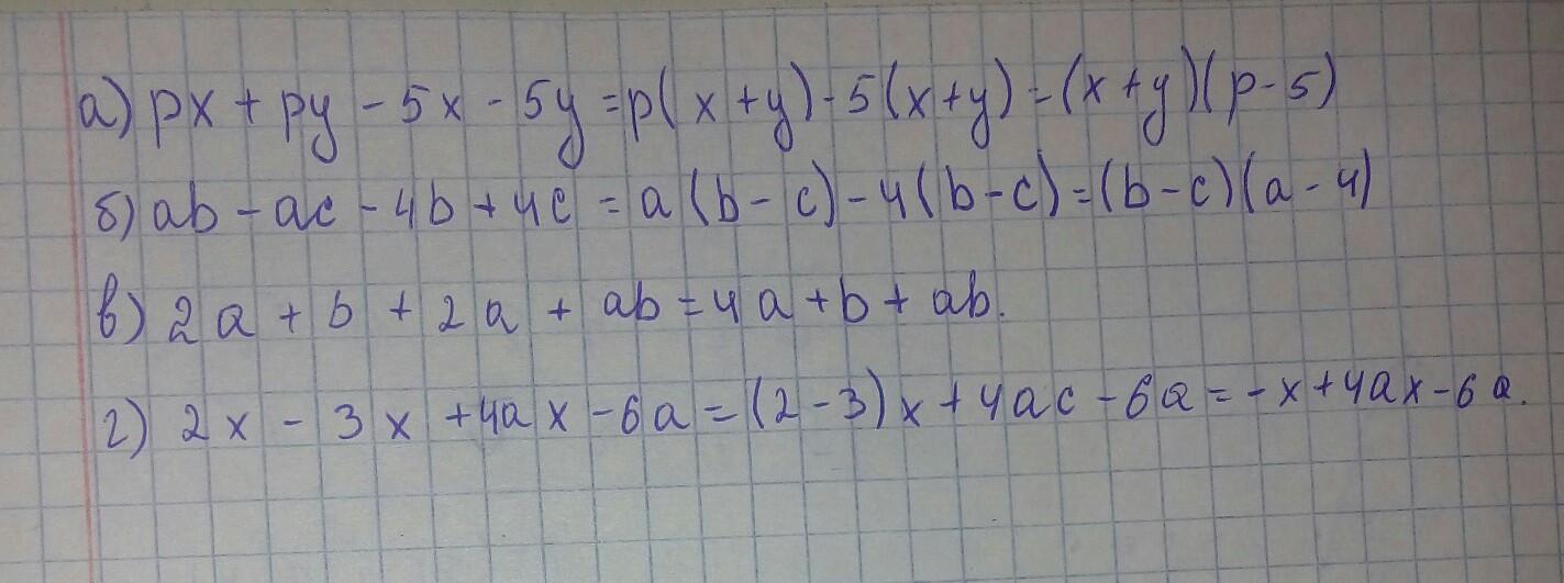
2. Разложите многочлен на
а) px + ру - 5x - 5у;
б) ab – ас - 4b + 4с;
в) 2a+b+ 2а + ab;
г) 2x - 3х + 4ах – 6а. ​

Ответы

Ответ дал: stolstolbyrevavika
0

Объяснение:

сделай пожалуйста ответ лучшим

удачи) :)

Приложения:
Вас заинтересует