• Предмет: Алгебра
  • Автор: Aselmahsut9
  • Вопрос задан 3 года назад

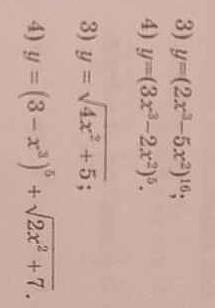
Помогите найти производную!!! ​

Приложения:

Ответы

Ответ дал: manyny06
1

Ответ:

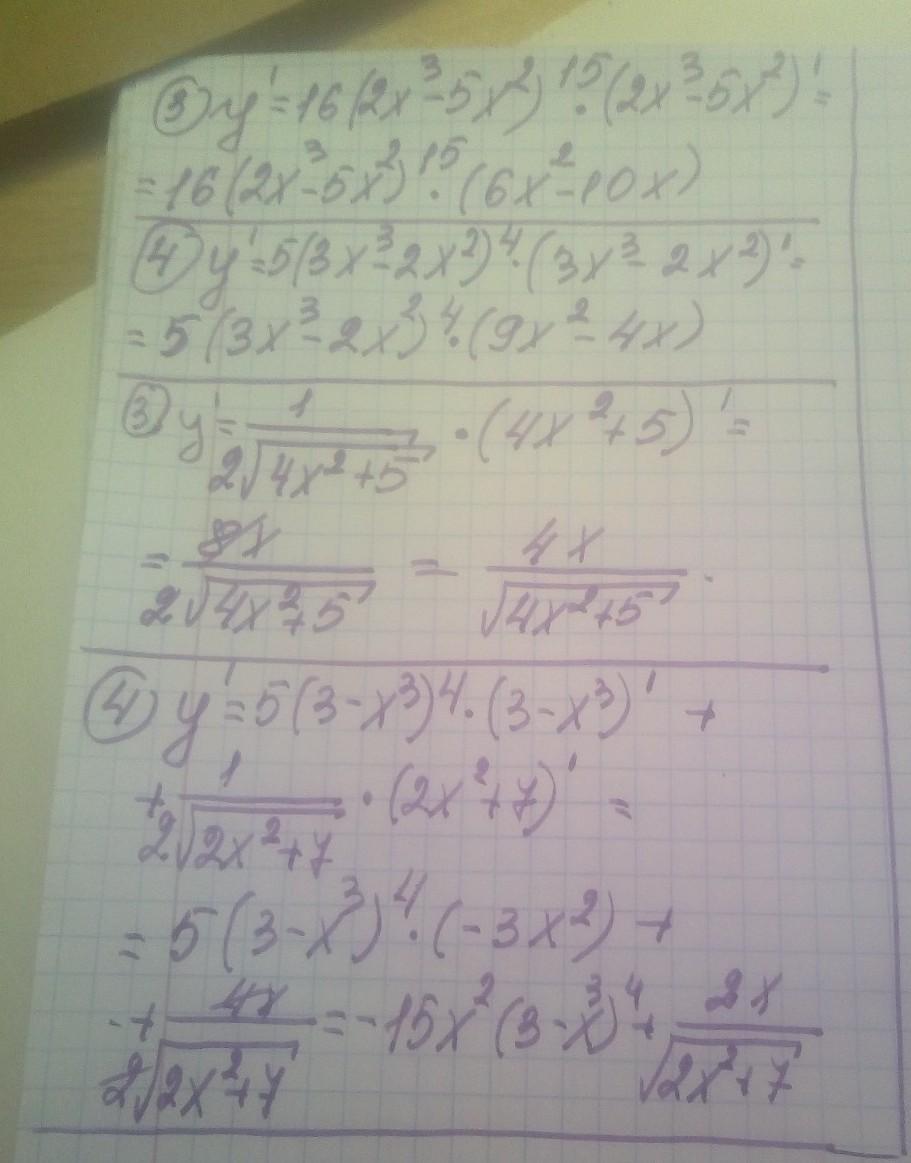
решение смотри на фотографии

Приложения:

Aselmahsut9: ооо спасибооо❤️
Вас заинтересует