• Предмет: Алгебра
  • Автор: fjnfnf581
  • Вопрос задан 3 года назад

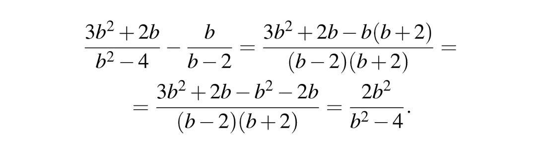
Упростите выражение дробь, числитель — 3{{b} в степени 2 } плюс 2b, знаменатель — {{b в степени 2 } минус 4} минус дробь, числитель — b, знаменатель — b минус 2 и найдите его значение при b=0,2.

Ответы

Ответ дал: memas297
4

На картинке все ясно

Приложения:
Вас заинтересует