• Предмет: Алгебра
  • Автор: svetusvet
  • Вопрос задан 11 лет назад

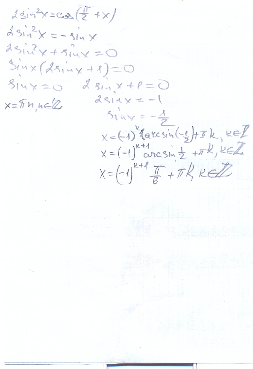
помогите,пожалуйста с С1

Приложения:

Ответы

Ответ дал: Yena
0
..........................................................
Приложения:
Вас заинтересует