• Предмет: Алгебра
  • Автор: school1996
  • Вопрос задан 10 лет назад

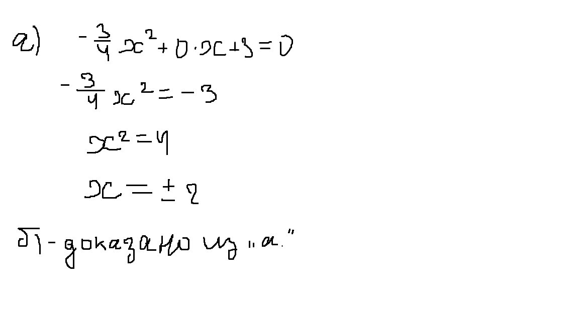
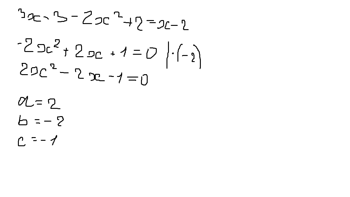
срочно!Все задания!Они лёгкие^^

Приложения:

Ответы

Ответ дал: Ekaterina1819
0
Получится вот так :)
Приложения:
Вас заинтересует