• Предмет: Математика
  • Автор: Hикуша
  • Вопрос задан 3 года назад

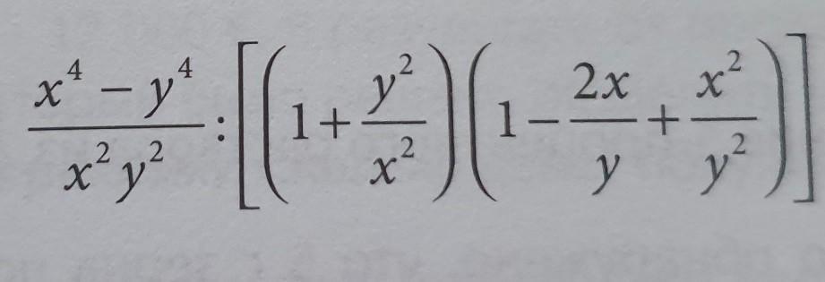
упростить. Ответ должен получится (x+y)/(x-y)​

Приложения:

Ответы

Ответ дал: vrvrvrvr1234
1

Ответ:

Пошаговое объяснение:

\frac{x^{4}-y^{4}}{x^{2}y^{2}} :[(1+\frac{y^{2}}{x^{2}})(1-\frac{2x}{y}+\frac{y^{2}}{x^{2}})]=\frac{(x^{2} -y^{2})(x^{2} +y^{2})}{x^{2}y^{2}} :[(\frac{x^{2}+y^{2}}{x^{2}})(\frac{x^2-2xy+y^{2}}{y^{2}})]=

\frac{(x-y)(x+y)(x^{2} +y^{2})}{x^{2}y^{2}} :[(\frac{x^{2}+y^{2}}{x^{2}})(\frac{(x-y)^{2}}{y^{2}})]=\frac{(x-y)(x+y)(x^{2} +y^{2})}{x^{2}y^{2}} *\frac{x^{2}y^{2}}{(x-y)^{2}*(x^{2} +y^{2})}=

=\frac{x+y}{x-y}


Hикуша: Благодарю!
Вас заинтересует