• Предмет: Математика
  • Автор: vatafight240
  • Вопрос задан 3 года назад

Плззззз памогитееееееее
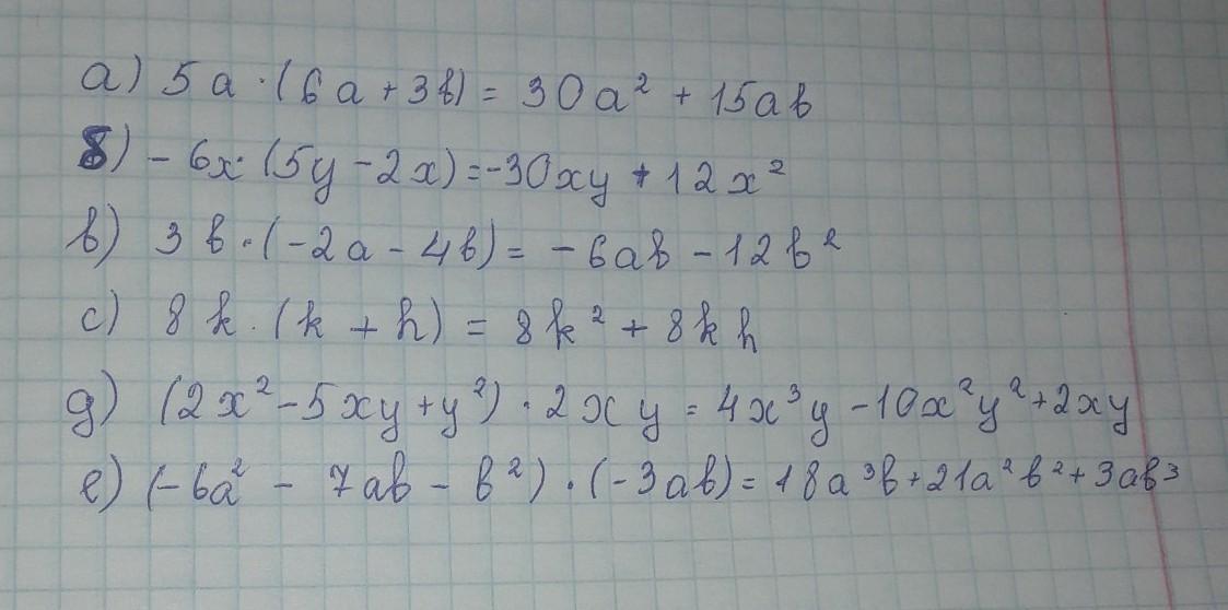
Умножение одночлена на многочлен ​

Приложения:

Ответы

Ответ дал: malika060891
2

...........................

Приложения:
Вас заинтересует