• Предмет: Алгебра
  • Автор: Аноним
  • Вопрос задан 3 года назад

СРОЧНО ДАМ 30 БАЛЛОВ

сократи дробь



 

Приложения:

Ответы

Ответ дал: manyny06
2

Ответ:

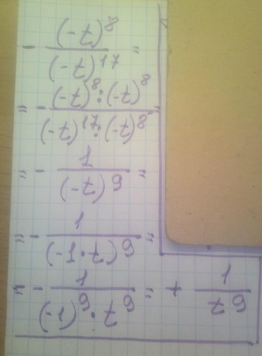
решение смотри на фотографии

Приложения:

Аноним: ОГРОМНОЕ СПАСИБО
Аноним: знаешь что здесь? : Найди общий делитель для одночленов 1,2vu3 и 1,8v8.
Miа16: manyny06, Привет, ты здесь?
Ответ дал: Эльвира5102
1

Ответ:

-\frac{(-t)^8}{(-t)17}=-(-t)^{8-17}= -(-t)^{-9}=\frac{1}{t^9}

Вас заинтересует