• Предмет: Алгебра
  • Автор: abdraimovakamila01
  • Вопрос задан 3 года назад

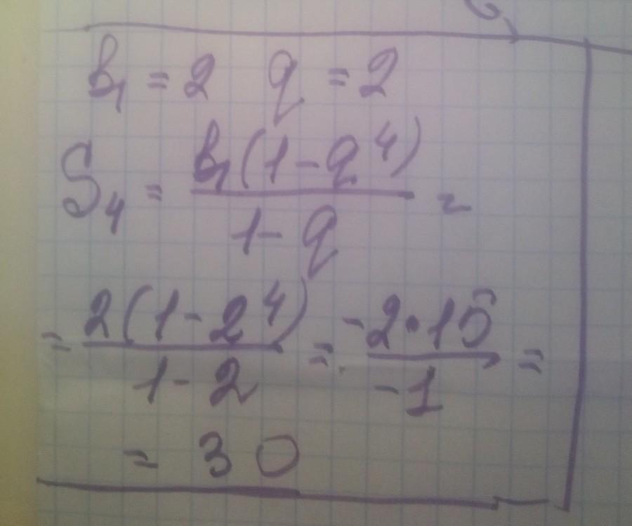
Вычисли сумму первых 4 членов геометрической прогрессии, если b1 = 2 и q= 2.​

Ответы

Ответ дал: manyny06
1

Ответ:

решение смотри на фотографии

Приложения:
Вас заинтересует