• Предмет: Алгебра
  • Автор: dasha9250
  • Вопрос задан 3 года назад

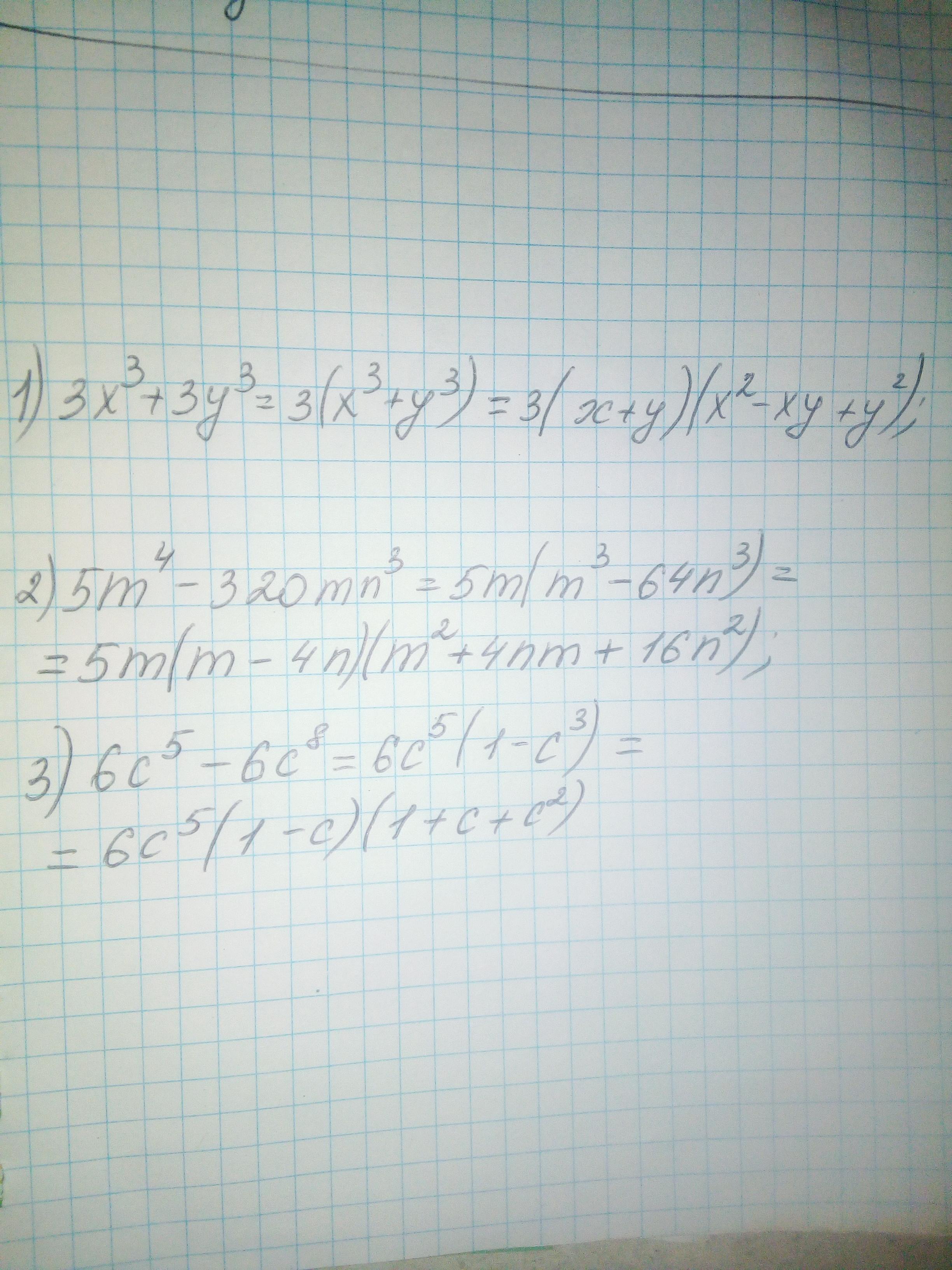
подайте у вигляді добутку многочлен
1) 3х3+3у3
2) 5m4-320mn3
3)6с5-6с8​

Ответы

Ответ дал: jussitta
1

Ответ:

Объяснение:

Решение на фото. Применение формул упрощенного умножения сумма и разница кубов

Приложения:
Вас заинтересует