• Предмет: Алгебра
  • Автор: maximchercasov36
  • Вопрос задан 3 года назад

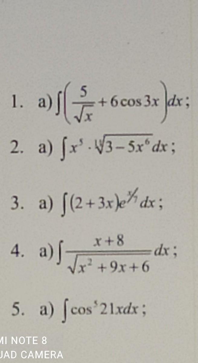
Даю 10 баллов , помогите пожалуйста , мне на завтра надо , очень срочно ​

Приложения:

Ответы

Ответ дал: Аноним
0

Ответ:

Извини но 2 и 4 не получается, думал над ними долго....

Приложения:
Вас заинтересует