1080.
На координатной плоскости постройте точки:
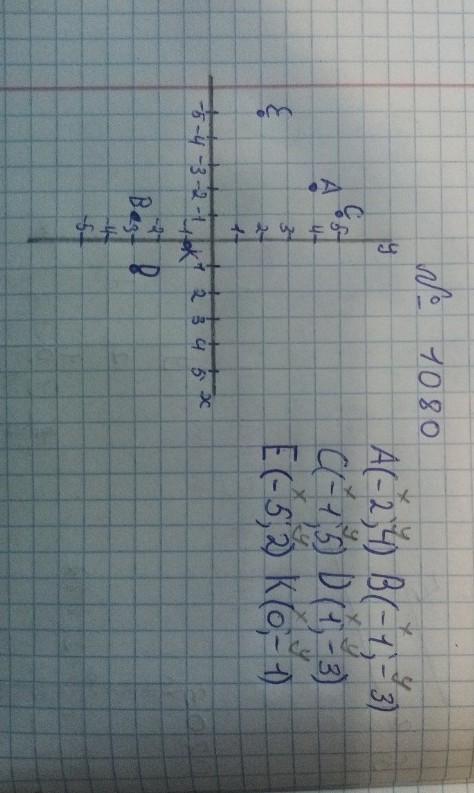
А(-2; 4), B(-1; -3), C(-1; 5); D(1; -3); E(-5; 2); К(0; -1).
Ответы
Ответ дал:
49
Пошаговое объяснение:
Вот ответ он правильный :) кстати это я Ксюша
Приложения:

Аноним:
оооо привет ксюша
Вас заинтересует
2 года назад
2 года назад
2 года назад
8 лет назад
8 лет назад
9 лет назад
9 лет назад